数学(24分)
要拿到(80%)20分以上。
学习方法(数学+理论力学+材料力学+流体力学)
- 以教程和课件为基础,理解+记忆
- 重点反复做历年考试真题(分类真题|年份真题)——务必动手写过程
- 真题以外,只做我提供的练习题
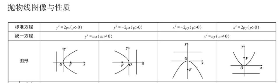
向量代数与空间解析几何(2分)
难度低,易拿分,全拿。


向量及其运算(1分)
- 向量的表示及计算
- 向量的模、单位化、方向角
- 向量的基本运算(加法、减法、数乘);平行的等价条件
- 向量的数量积(点乘)、运算规律
- 向量的向量积(叉乘)
- 向量的运算规律
- 向量的混合积







空间平面
- 平面的定义、法向量、点法式方程、一般式方程、特殊平面方程
- 平面的截距式方程
- 两平面的夹角、位置关系



空间直线
- 直线的定义、方向向量、点向式方程、参数方程、一般方程
- 两直线的夹角、位置关系


直线与平面的位置关系
- 直线与平面的夹角、特殊位置关系
- 平面位置关系、直线平面位置关系的三维展示


空间曲面、曲线
- 常见空间曲面的方程:椭圆锥面、椭球面、单叶双曲面、双叶双曲面
- 柱面:椭圆柱面、双曲柱面、抛物柱面;母线、准线
- 考点分析一:已知曲面方程,识别曲面的形状和名称>>柱面
- 考点分析一:已知曲面方程,识别曲面的形状和名称>>曲面
- 考点分析二:已知曲面是由某平面曲面绕坐标轴旋转所得,求所得旋转曲面方程
- 考点:空间曲线在做表面的投影






常用函数图像









函数极限连续(2分)
难度略大,做好基础知识点,实在太难的题放过。


函数的概念及性质
- 函数的概念
- 分段函数
- 复合函数
- 反函数
反函数记成 - 函数和反函数关于
对称
- 定义域常见三个限制条件
- 分母不能为0
- 偶次根式被开方数大于等于0
- 真数必须大于0
- 基本初等函数
- 幂函数
- 指数函数
- 对数函数
- 三角函数
- 常用的运算公式
- 指数
- 对数
- 三角函数
- 函数的性质:奇偶性
- 条件:定义域关于原点对称
- 图形特征
- 函数的性质:单调性
- 函数的性质:有界性
- 上界、下界、有界、充要条件
- 函数的性质:周期性






极限的概念及计算(1分)
- 极限的概念
- 左极限
- 右极限
- 极限存在的充要条件
- 极限的计算方法
- 直接代入法
- 有界函数乘无穷小
- 等价无穷小代换(乘除可换、加减不可换)
- 套用2个重要极限
- 洛必达法则(一般不用,除非一看就非常简单)



无穷小的比较
- 高阶、低阶、同阶、等价、k阶无穷小

连续
- 连续的定义
- 连续的条件

间断点
- 间断的概念
- 间断的分类
- 跳跃间断点
- 可去间断点
- 第二类间断点

渐近线
- 水平渐近线
- 垂直渐近线
- 斜渐近线

导数与微分(6分)
难度低,易拿分,全拿。


导数的概念及定义计算(0.6分)
- 导数的概念
- 左导数
- 右导数
- 可导的充要条件:左右导数存在且相等
- 必要条件:可导必连续,连续不一定可导

一元函数导数及微分(1.4分)
- 函数求导
- 基本初等函数导数公式
- 四则运算求导法则
- 复合函数求导法则
- 参数方程函数求导
- 幂指函数求导
- 微分的概念
- 可微、可导、连续之间的关系





多元函数偏导数及全微分(2分)
- 偏导数的概念
- 偏导数的计算
- 直接计算
- 多元复合函数求偏导数——链式法则
- 多元抽象复合函数求偏导数——链式法则
- 隐函数求导(偏导)
- 高阶偏导
- 全微分概念(可微)
- 多元函数微分学概念之间关系
- 函数连续、偏导数存在
- 函数可微
- 偏导数连续







导数的应用(2分)
- 求曲线切线、法线方程
- 切线斜率:
- 法线斜率:
- 切线斜率:
- 判断一元函数的单调性、驻点
- 求一元函数的极值、最值
- 常用结论(5个)
- 所有可能得极值点都存在于驻点和不可导点处
- 可导的极值点必为驻点
- 导数等于0的点未必是极值点
- 闭区间上的连续函数的最值仅存在于区间的端点和极值点处
- 开区间上的最值必为极值
- 求一元函数的凹凸区间、拐点
- 微分中值定理(
闭区间连续、 开区间可导) - 罗尔中值定理:
- 拉格朗日中值定理:
- 罗尔中值定理:
- 偏导数求二元函数的极值
必是极值点,A>0极小值,A<0极大值 必不是极值点 无法判断








积分学(4分)
难度低,易拿分,全拿。


不定积分计算(1分)
- 原函数
- 不定积分的概念
- 不定积分的性质
- 不定积分的计算
- 基本积分公式
- 凑微分换元积分法
- 第二换元积分法
- 分部积分法





定积分计算(1.3分)
- 牛顿-莱布尼茨公式
- 定积分性质(3个)
- 积分上限函数的概念
- 积分上限函数的性质
- 上限代入x上限求导-下限代入x下限求导
- 第二种换元积分法(换元必换限)
- 无穷区间的广义积分
- 无界函数的广义积分(瑕点、瑕积分)





一次定积分应用(0.3分)
- 直角坐标系下求平面图形的面积
- 极坐标系下求平面图形的面积
- 极坐标与直角坐标的转换
- 极坐标种的常见图形
- 求旋转体的体积




二重定积分计算(1分)
- 二重积分的概念和几何意义
- 平面直角坐标系中计算二重积分
- 极坐标系中计算二重积分



曲线积分(1分)
- 对弧长的曲线积分
- 对坐标的曲线积分


微分方程(2分)
难度低,易拿分,全拿。


微分方程基本概念(0.1分)
- 概念
- 微分方程的阶
- 微分方程的解
- 通解
- 特解

一阶线性微分方程(0.8分)
- 可分离变量的微分方程
- 一阶线性微分方程的通解公式


二阶微分方程(1分)
型求解 - 二阶常系数齐次线性微分方程


线性微分方程解的结构(0.1分)
- 一阶线性微分方程
- 二阶线性微分方程
- 二阶常系数非齐次线性微分方程


无穷级数(2分)
略难理解,做好基础知识点,保一挣二。
考试快速做题指南
一般只会让判断是否收敛,不会让算收敛于什么。
做题方法:选项代入、观察法


常数项无穷级数(1分)
- 无穷级数的基本概念
- 无穷级数的性质、必要条件、收敛性取决于、充分必要条件
- 交错级数的收敛的充分条件(非必要)
- 常用的两个正项级数:p级数、等比级数
- 正向级数的敛散性判定
- 比较审敛法
- “大局观”
- 数量级
- 等价无穷小
- 比值审敛法
- 绝对收敛与条件收敛
考试快速做题指南
有的交错级数也是等比级数,两种判定方法都可以用







幂级数收敛性
考试快速做题指南
幂级数收敛区间、收敛域一般不会缺项,缺项的使用: 选项代入、比值审敛法,例如2019-18

和函数


函数展开幂级数
- 函数展开为幂级数
- 麦克劳林展开式
- 傅里叶级数和函数结论
考试快速做题指南
展开成谁的幂级数就先构造谁
傅里叶级数:太难,一般不考,考了就不要这1分了,仅记住傅里叶级数和函数的结论就行了


线性代数(3分)
面太宽,难度低,性价比不高,保二挣三。


矩阵的运算与性质(1分)
- 二阶、三阶行列式的计算
- 行列式的性质
- 交换行列式的两行:互为相反数
- 行列式的某行乘倍数:k倍
- 行列式的某行的k倍数加到另一行:不变
- 交换行列式的行列(转置):不变
- 以上变换对列一样成立
- 矩阵的概念
- 几种特殊矩阵:
- 零矩阵、列矩阵、行矩阵、对角阵、阶梯形矩阵
- 方阵:对角阵、上三角矩阵、下三角矩阵、单位矩阵
- 矩阵的运算种类
- 加减法、数乘、乘积、转置
- 初等行交换(唯一不变的是秩):交换两行、倍乘、倍加
- 矩阵运算的性质
- 矩阵乘法不满足交换律(单位矩阵除外)
- 矩阵乘积的转置:
- 方阵的行列式性质:
- 矩阵乘法不满足交换律(单位矩阵除外)
- 子式的概念(是一种行列式)
- 矩阵的秩的概念
- 矩阵的秩为r的等价条件(4个)
- 矩阵的秩的结论(3个)
- 余子式
- 代数余子式
- 伴随矩阵
- n阶方阵A的伴随矩阵的性质
- 伴随矩阵的秩
- 逆矩阵的概念及性质












线性方程组(0.6分)
- 线性方程组的概念与表示
- 矩阵形式及其简记形式
- 向量形式及其简记形式
- 系数矩阵、增广矩阵
- 基础概念
- 线性:未知数都是一次
- 齐次:右边为0
- 非齐次:右边不为0
- 齐次线性方程组
- 只有零解
- 有非零解
- 解的结构的主要结论
- 非齐次线性方程组
- 无解
- 有唯一解
- 有无穷多解
- 齐次线性方程组与非齐次线性方程组的关系(3个)





向量组的线性相关性(0.6分)
- 向量组的秩
- 向量组的线性相关的等价条件(5个)
- 向量组的线性无关的等价条件(5个)
- 向量组的极大线性无关组




方阵的特征值与特征向量(0.6分)
- 特征值与特征向量的概念
- 特征值求法
- 特征值与特征向量的性质(5个)
- 特征值乘积=方阵的行列式
- 特征值的和=方阵主对角线之和(方阵的迹)
- 方阵指数、倍、逆矩阵运算同实数的运算
- 方阵+KE的特征值同实施的运算
- 不同特征值对应的特征向量正交
- 向量内积
- 相似矩阵的概念
- 相似矩阵的性质(2个)
- 相似矩阵具有相同的秩和行列式
- 相似矩阵具有相同的特征值
- 矩阵的相似对角化概念
- 矩阵的相似对角化的条件(2个)
- n阶方阵具有n个不同的特征值
- 对于m重根特征值,有m个线性无关的特征向量





二次型(0.6分)
- 二次型的概念
- 二次型的矩阵与二次齐次多项式的互相转换
- 二次型的矩阵一定是实对称矩阵(至少考试是)
- 二次型的矩阵主对角线元素对应二次多项式的系数
- 二次型的矩阵其余元素对应二次多项式的系数
- 二次型矩阵的秩即为二次型的秩
- 二次型标准型的概念
- 二次型标准型求法:配方法、特征值法
- 二次型标准型的结论(3个)、正惯性指数、负惯性指数
- 合同矩阵的概念
- 合同矩阵的结论(2个)
- n阶方阵A、B有相同的特征值,则A、B合同
- A、B合同,则正特征值个数相同、负特征值个数相同
- 正定二次型的概念及其等价条件(5个)
- 等价于A的各阶顺序主子式全为正
- 负定二次型的概念及其等价条件(5个)
- 等价于A的奇数阶顺序主子式全为负,偶数阶顺序主子式全为正
考试快速做题指南
- 因标准型不唯一,求标准型只看正负惯性指数就行了,如果选项中有一些选项正负惯性指数相同,可快速排除这些选项。
- 正常考试的合同矩阵一定是实对称的,不对称的可以排除。
- 判断正定二次型:一般用各阶顺序主子式全为正。




概率论与数理统计(3分)
面太宽,难度低,性价比不高,保二挣三。


事件的关系和运算(1分)
- 事件的运算:和事件、积事件、对立事件、差事件
- 事件的关系:互斥、对立、独立
- 对立一定互斥
- 独立没有图形直观,不要画图
- 事件的与运算律(长杠变短杠,开口变方向)
- 并的补=补的交
- 交的补=补的并
- 概率的性质(必考1分)
- 重点:互斥和、一般和、对立减、减法、乘法、独立乘
- 条件概率(条件概率做分母,乘积概率做分子)
- 古典概率模型(性价比很低、只考过两次 )
考试快速做题指南
- 独立事件的补也是相互独立的
- 最爱:互斥的和、独立的积
- 次爱:独立的和+长短杠=>独立的积






分布函数(列)、概率密度函数(0.8分)
- 分布函数的概念
- 分布函数的性质
- 任意区间取值概率
- 右连续性
- 单调不减性
- 有界性
- 离散型随机变量及其分布律
- 连续型随机变量及其概率密度函数
- 连续型随机变量及其概率密度函数的性质
- 概率密度函数
与分布函数 的关系 - 常见分布:二项分布、几何分布
- 常见分布:泊松分布、均匀分布
- 二维随机变量简介:二维离散型随机变量
- 二维随机变量简介:二维连续型随机变量
- 常见分布(仅学习二项分布就行了)
- 二项分布
- 几何分布
- 泊松分布
- 均匀分布
- 二维离散型随机变量
- 联合分布律
- 边际分布律








考试快速做题指南
- 已知泊松分布
,则 - 均匀分布的概率密度函数为定义域上的常数:
- 一维:
- 二维:
- 一维:
数学期望和方差(0.8分)
数学期望的计算
- 离散型随机变量的数学期望
- 连续型随机变量的数学期望
- 连续型随机变量的函数的数学期望
- 二维随机变量的函数的数学期望
- 常见分布的数学期望
- 二项分布
- 泊松分布
- 均匀分布
- 指数分布
或者 - 正态分布
- 二项分布
方差的定义: X偏离中心的平方的平均值
方差的计算公式:
期望和方差的性质(6个)
随机变量的数字特征
- 协方差
- 相关系数
- 和(差)的方差
考试快速做题指南
- 常见分布的数学期望要记住,考试遇见可以秒杀拿分。如果记不住只能用公式推导了。
- X、Y相互对立=>X、Y不相关,反过来则无法得出



正态分布(0.2分)
- 正态分布的性质(6个)
- 正态分布密度图像关于
期望对称 - 三大分布与正态总体抽样分布:卡方分布、T分布、F分布
- 仅记住大概结构就行了
考试快速做题指南
- 上考场前死记公式
- 设
来自 ,则 , ,


参数估计(0.4分)
- 矩估计
考试快速做题指南
上档次考点,但很容易:只要让算矩估计,直接套公式即可
代表样本均值 代表数学期望
